פרדוקס שתי המעטפות: איזו רווחית יותר?
מהי האסטרטגיה הנכונה כאשר יש לבחור בין שתי מעטפות זהות ואטומות, שאחת מהן מכילה סכום כסף כפול מהאחרת, אם אנו רשאים לשנות את דעתנו לאחר הבחירה הראשונה?
הפרדוקס: מוגשות לנו שתי מעטפות זהות בצורתן, שתיהן סגורות ואטומות, כך שאי-אפשר לראות את תוכנן, ועלינו לבחור אחת מהן. נאמר לנו שבכל מעטפה יש סכום כסף מסוים, והסכום שבאחת המעטפות (לא נאמר לנו באיזו) כפול מהסכום שבמעטפה האחרת (נניח גם שהכסף הוא בצורת צ'ק, כך שהמעטפות זהות גם במשקלן ובנפחן).
מאחר שאי-אפשר לדעת כמה כסף יש בכל אחת מהמעטפות, בחירתנו באחת מהן היא אקראית. ואולם, מיד לאחר שבחרנו באחת המעטפות מוצעת לנו האפשרות להחליף ביניהן, כלומר, להחזיר את המעטפה שבחרנו ולקבל במקומה את המעטפה
האחרת, שבה יש, כמובן, או סכום כסף כפול מזה שברשותנו כעת, או רק מחצית מסכום זה. האם כדאי לנו לבצע את
ההחלפה או להישאר בבחירתנו הראשונית?
לכאורה נראה, שמבחינת הסיכוי לזכות במרב הכסף אין זה משנה אם נישאר בבחירתנו הראשונית או נחליף מעטפות, שהרי אין שום הבדל חיצוני ביניהן. כמו כן יכולנו באותה מידה לבחור תחילה דווקא במעטפה האחרת, ולקבל את האפשרות להחליף אותה בזו שבחרנו בפועל.
מצד אחר, נניח שסכום הכסף במעטפה הראשונה שבחרנו הוא A שקלים. סכום הכסף במעטפה האחרת הוא אם כן או 2A שקלים, או A/2 שקלים, כך שהחלפה בין המעטפות תביא או לרווח של A שקלים או להפסד של A/2 שקלים, ונראה, אם כן, שהחלפת המעטפות דווקא תהיה אסטרטגיה טובה (אם יש באפשרותנו לוותר על 100 שקל ובתמורה לקבל או 50 שקל או 200 שקל, נראה שהסיכון להפסד קטן מצדיק את הסיכוי לרווח גדול).
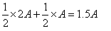
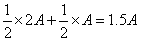
למכירים את מושג התוחלת, הרי הצעה לחישוב כדאיות ההחלפה: מאחר שהסכום במעטפה האחרת הוא או 2A או A/2 בהסתברות שווה (על פניו נראה שאין סיבה להניח סיכוי גבוה יותר דווקא לאחת משתי האפשרויות), הרי שתוחלת הסכום שיהיה בידינו לאחר ההחלפה היא:
וזאת לעומת A שקלים שעומדים לרשותנו כרגע. משמעות חישוב התוחלת היא, שאם יוצע לנו לחזור על המשחק מספר רב של פעמים, ובכל פעם נבחר באסטרטגיית ההחלפה, בסופו של דבר נצבור 25% יותר כסף מאשר אם נבחר באסטרטגיית אי-ההחלפה (אם נוותר על 100 שקל 10 פעמים, ובמקומן נקבל, נניח, 5 פעמים 50 שקל ו-5 פעמים 200 שקל, הרי שתמורת 1,000 השקל שוויתרנו עליהם נקבל 1,250 שקל).
כדי לחדד מעט את ניסוי המחשבה הזה, נניח שהסכום שבאחת המעטפות גדול פי 100 מהסכום שבמעטפה האחרת. במקרה כזה נראה שהחלפת המעטפות מעמידה את הסיכוי להרוויח 99A שקלים ביתרון ברור מול הסיכוי להפסיד 0.99A שקלים (אם A הוא, נניח, 1, אזי אנחנו מסתכנים בהפסד של 99 אגורות מהשקל שבידינו תמורת הסיכוי להרוויח 99 שקלים).
אבל שוב, הרי המעטפות זהות לחלוטין, ובאותה מידה יכולנו לבחור בפעם הראשונה גם במעטפה האחרת, ואם כדאי להחליף מעטפה א' במעטפה ב', אין זה סביר שכדאי להחליף גם את מעטפה ב' במעטפה א'. כמו כן, אם תוצע לנו שוב
האפשרות להחליף בין המעטפות (לאחר שכבר החלפנו ביניהן פעם אחת), הרי שלפי שיקולי אסטרטגיית ההחלפה הדבר יהיה שוב כדאי. אבל החלפת המעטפות פעמיים הרי שקולה לאי-החלפתן כלל! אז האם כדאי להחליף בין המעטפות או שאין בהחלפה כזו שום יתרון?
את הפרדוקס הזה הציג ב-1989 בארי ניילבוף (Nalebuff), מומחה לתורת המשחקים מבית-הספר לניהול של אוניברסיטת ייל, שביסס את הפרדוקס על רעיון דומה של המתמטיקאי הבלגי מוריס קרייצ'יק (Kraitchik) מ-1953.
נקודות למחשבה
אחת ההנחות שהביאה לקבלת אסטרטגיית ההחלפה היתה, שלאחר שכבר בחרנו באחת המעטפות, ההסתברות שסכום הכסף במעטפה האחרת יהיה כפול מזה שבמעטפה שבחרנו שווה להסתברות שסכום הכסף במעטפה זו יהיה רק מחצית ממנו. האם זה באמת כך? הניחו שהסכומים בשתי המעטפות הם 100 ו-200 שקל. אם בחרתם במעטפה שבה 100 השקלים (מבלי לדעת זאת), הרי שבמעטפה האחרת יש סכום כפול מזה; ואולם, אם בחרתם במעטפה שבה 200 השקלים, אזי במעטפה האחרת יש אמנם רק מחצית מסכום זה, אבל אין זה אותו סכום בשני המקרים: אם במעטפה האחרת הסכום הוא כפול, הרי שהוא כפול מ-100 שקל, אך אם הסכום בה הוא רק מחצית, הרי שזו מחצית מ-200 שקל!
ההנחה העיקרית שהביאה לדחיית אסטרטגיית ההחלפה היתה ששתי המעטפות זהות לחלוטין, ולכן החלפה בין המעטפות שקולה למעשה לבחירה ראשונית שונה, ונראה שלא אמור להיות הבדל מבחינת סיכויי הזכייה אם נבחר במעטפה זו או אחרת. כמו כן, נניח ששתי המעטפות נמסרות לשני אנשים שונים.
אם אסטרטגיית ההחלפה היא האסטרטגיה הנכונה, הרי ששני האנשים יהיו מעוניינים להחליף ביניהם את המעטפות, אבל לא ייתכן שהחלפה כזו תהיה כדאית לשניהם! שיקולים מעין אלו נקראים שיקולי סימטריה, ויש בהם הרבה מאוד כוח שכנוע. האם הסימטריה בין שתי המעטפות היא סיבה מספקת לדחות את אסטרטגיית ההחלפה?
פתרון הפרדוקס
אסטרטגיית ההחלפה הוצדקה לעיל על בסיס השיקול הזה: אם סכום הכסף במעטפה הראשונה שבחרנו הוא A שקלים, הרי שסכום הכסף במעטפה האחרת הוא או 2A שקלים או A/2 שקלים, ולכן החלפה בין המעטפות תביא באותה הסתברות או לרווח של A שקלים או להפסד של A/2 שקלים.
אולם זוהי הצגה מטעה של מצב העניינים. למעשה מוגשות לנו שתי מעטפות, שבאחת מהן יש A שקלים ובאחרת - 2A שקלים. אם באקראי בחרנו במעטפה שבה יש A שקלים, ונבחר להחליף אותה במעטפה האחרת, נרוויח A שקלים, אך אם בחרנו במעטפה שיש בה 2A שקלים, הרי שהחלפה בין המעטפות תסתיים בהפסד של A שקלים! (או, אם הסכומים במעטפות הם A שקלים ו-100A שקלים, הרי שהסיכוי שלנו להרוויח 99A שקלים עומד מול הסיכוי שלנו להפסיד גם כן 99A שקלים).
מכאן שהסכום שאנו עשויים להרוויח שווה לסכום שאנו עלולים להפסיד, כך שאין זה משנה אם נישאר בבחירתנו המקורית או נחליף בין המעטפות. דרך ההצגה הקודמת של הרווח מול ההפסד האפשריים היתה נכונה לו נמסרה לנו מעטפה עם כסף (נאמר 100 שקל), ורק לאחר מכן הושם במעטפה אחרת באותה סבירות או סכום כסף כפול מזה או רק מחצית מהסכום, ואז הוצע לנו לבצע את ההחלפה. או-אז, לו החלפנו בין המעטפות היינו יכולים לקבל במקום 100 השקלים 200 שקל או 50 שקל בהסתברות שווה, והרווח האפשרי היה גדול מההפסד האפשרי, מה שהיה מצדיק את ההחלפה. אולם כפי שראינו, לא אלו הם חוקי המשחק.
מבחינת שיקולי התוחלת, הרי שאם אנו נשארים בבחירה המקורית, תוחלת הסכום שברשותנו מחושבת על בסיס העובדה שהסיכוי שבמעטפה שבחרנו יש A שקלים שווה לסיכוי שיש בה 2A שקלים:
אם נחליף בין המעטפות, התוחלת החדשה תהיה למעשה שווה לזו הישנה:
(רק סדר המחוברים התחלף), מה ששוב מוכיח, שאין זה משנה אם נישאר בבחירה הראשונית שלנו או נחליף בין המעטפות (כצפוי משיקולי הסימטריה). לעומת זאת, חישוב התוחלת שהוצג בתחילה מתאים לתסריט השני, שבו סכום הכסף הוכנס למעטפה האחרת רק לאחר שבחרנו באחת המעטפות, עם הסתברות שווה לסכום כפול או למחצית מזה שבמעטפה הראשונה.
לקינוח
נניח שהוצע לכם להשתתף במשחק מעין זה, ולפני שהוצעה לכם אופציית ההחלפה הורשיתם להציץ בסכום שהונח
במעטפה שבחרתם (אך לא הורשיתם להציץ במעטפה האחרת, שבה סכום הכסף הוא או כפול או מחצית מזה שבידכם). האם אז היו שיקוליכם שונים? נניח שהגעתם למסקנה שבתנאים כאלו ההחלפה היא כן כדאית. אבל אז גם כשלא הורשתם לפתוח את המעטפה יכולתם להשתמש בידיעה שלו פתחתם אותה הייתם בוחרים להחליף בין המעטפות, ועל בסיס מידע זה לבחור באסטרטגית ההחלפה (שכפי שראינו לעיל אינה מוצדקת).
כמו כן, איך עשוי הממד הפסיכולוגי, שאינו רלוונטי לבעיה המקורית, להשפיע על החלטתכם בתנאי המשחק החדשים? האם תהיו מוכנים לסכן 999 שקלים מתוך 1000 תמורת הסיכוי להפוך למיליונרים? (אם, למשל, מצאתם במעטפה צ'ק על-סך 1000 שקל, ונאמר לכם שבאחת המעטפות סכום הכסף גדול פי 1000 מאשר במעטפה השניה), או האם תהיו מוכנים לסכן את הזדמנות חייכם להיות מיליונרים (אם הצ'ק שמצאתם הוא על-סך מיליון שקל) תמורת הסיכוי להפוך למיליארדרים?
פורסם במקור במגזין "גלילאו"
