באופן טבעי, בציבור הישראלי מתמקדים בימים אלה בהיבט אחד של ההסכם בין ישראל לחמאס: השבת החטופים שנותרו בשבי חמאס, שצפויה להתרחש כבר בתחילתו. אלא שלמעשה, אחרי השלב הראשון ישנם פרטים רבים בהסכם שנותרו לא-פתורים - ונראה שרק ערבות אמריקנית ברורה שהלחימה לא תתחדש אפשרה לצאת לדרך בלעדיהם.
טראמפ: "החטופים ישוחררו ביום שני או שלישי"
(צילום: רויטרס)
"שיחקתי פיפ"א עם אלי-ה, ואז ראינו כותרות וקפצנו מאושר"
(צילום: ליאור שרון)
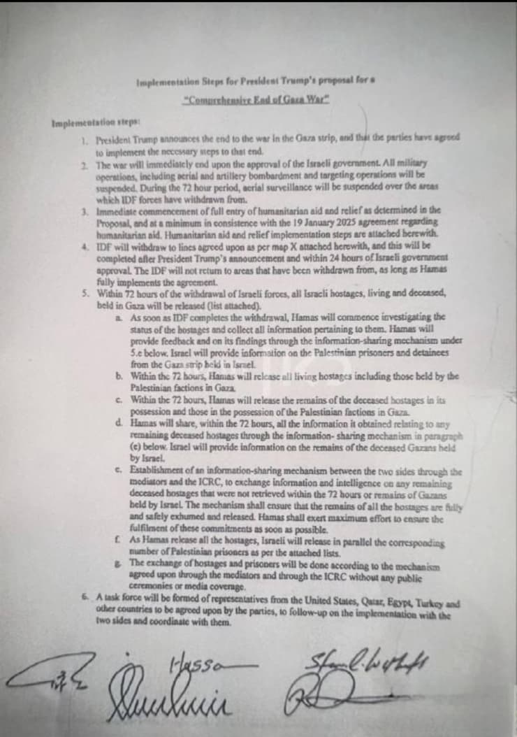
ראשית, עניין מציאת החטופים החללים: מאחר שחמאס אמר שאינו יודע את מיקומם של תשעה מהם, הוסכם שיוקם כוח בינלאומי של ישראל, ארצות הברית, קטאר, מצרים וטורקיה - שבסיוע הצלב האדום ינסו לחפש כל שריד. הכוח הזה אמור לבדוק מידע בשטח, לבדוק תחת הריסות מבנים, לשלוח משלחות, להביא דגימות והדבר עשוי להימשך גם שנים ארוכות. את המנגנון הזה, כנראה, עדיין צריך להסדיר, וגם את השלכות הפעולות שלו. בישראל גם חוששים מכך שישנם אנשים שלעולם לא יוודע מקום קבורתם.
"בתוך 72 שעות, חמאס ישתף את כל המידע שבידיו על חטופים מתים דרך מנגנון שיתוף המידע", נכתב במסמך ההסכמות. "יוקם מנגנון לשיתוף מידע בין שני הצדדים באמצעות המתווכות והצלב האדום (ICRC) כדי להחליף מידע על חטופים או חללים שנותרו, שלא אותרו או שלא הוחזרו. המנגנון יוודא שכל הגופות מזוהות ומוחזרות במלואן. חמאס יעשה מאמץ מרבי לוודא את השלמת מחויבויותיו במהירות האפשרית".
אחרי זה, ישנו גם העניין הביטחוני, וסביבו סימן שאלה גדול: איך מוודאים שחמאס אכן מניח את נשקו? המתווכות בעסקה, ובראשן קטאר, טורקיה ומצרים, אמורות להיות אלה שיוודאו שארגון הטרור אכן יעשה זאת - אך ישראל חייבת להיות מעורבת בכך, כדי לוודא שחמאס לא מרמה. הנחת העבודה היא שארגון הטרור כמובן ירמה, ולא יוותר על כל הנשק. הוא יכול, למשל, למסור את הנשק הכבד ואולי גם חלק מהנשק הקל, אבל בוודאי לא ייתן את הרובה האחרון, האקדח האחרון, הרימונים האחרונים, מטולי ה-RPG האחרונים וכיוצא בכך. הנושא הזה לא נמצא במסמך ההסכמות - ונשמר אולי ל"יום שאחרי".
ואם חמאס לא יפורק מנשק לחלוטין, ויחד עם העובדה שהוא עדיין נהנה מפופולריות בקרב פלסטינים רבים, המשמעות היא שעדיין תהיה לו השפעה דרמטית על השלטון ברצועה - ואולי ביום מן הימים הוא יוכל גם לבצע בה הפיכה פעם נוספת. ההסכם יצטרך לספק את הדרישות הביטחוניות הישראליות ולהבטיח שחמאס יורחק ממנגנוני הכוח, אחרת - בהיבט הזה - יהיה מדובר בכישלון.
5 צפייה בגלריה


מה יקרה לנסיגה אם חמאס לא יחזיר את "הרובה האחרון"? הרמטכ"ל ברצועה, היום
(צילום: דובר צה"ל)
מנגנון השליטה ברצועה, למעשה, הוא נעלם חשוב נוסף: נשיא ארצות הברית דונלד טראמפ אמור להקים את "מועצת השלום" ולמנות אל אנשיה, כשעד כה מונה רק ראש הממשלה הבריטי לשעבר טוני בלייר. הנשיא יצטרך למנות מנהיגים במדינות מוסלמיות וערביות, אולי גם חברים בבנק העולמי ובאיחוד האירופי, גורמים שיש להם כסף ויוכלו לתרום למיזם שיקום הרצועה. המועצה הזו, בראשות בלייר, אמורה בסופו של דבר לקחת פיקוד על אזורים בעזה ולוודא שחמאס לא נמצא בהם - אך התהליך הזה עדיין נמצא בחיתוליו ופרטיו לא נסגרו.
לצד המועצה, ישנו גם הכוח הבין-ערבי שאמור לקום ברצועה, כשבין השאר דובר על כך שגם אינדונזיה תשתתף בו ותשלח חיילים לצד איחוד האמירויות ומדינות נוספות, אולי גם סעודיה. הדבר יצטרך להיות בתיאום מלא עם ישראל: איך הצבאות הללו נכנסים פנימה ולוקחים אחריות על השטח, תחת אילו כללי פתיחה באש הן פועלות ואיך הן עובדות בתיאום עם צה"ל כדי שלא יהיו חילופי אש בין הצדדים עד להשלמת הנסיגה? מדובר באירוע רגיש מאוד, כך שטראמפ יצטרך להמשיך לנהל את האירוע - אך לא ברור עד כמה המחויבות האמריקנית תלך רחוק בנושא הזה.
צה"ל, צריך לזכור, אמנם נשאר בשלב זה ברצועה, אך עתיד להשלים את הנסיגה עד לפרימטר בהתאם להתקדמות ההסכם. פרטי הנסיגה הראשונית בתמורה להשבת החטופים כבר סוכמו, וככל הנראה צה"ל צפוי לשהות מחוץ למרכזי הערים, אך הנסיגות העתידיות אמורות להיות מותנות בכך שחמאס יקיים את חלקו בהסכם. ומאחר שארגון הטרור הסכים לעסקה רק לאור ערבויות אמריקניות ברורות לקטאר ולטורקיה שישראל לא תחדש את האש, לא ברור מה יקרה אם יעלו פערים בין הצדדים בהמשך. מה יקרה, למשל, אם המדינות הערביות יכריזו שחמאס פורק מנשק, וישראל לא תקבל את הקביעה?
5 צפייה בגלריה


יש גם מי שירוויח מהשיקום. תמונות לוויין: ההרס בעיר עזה
(צילום: סמואל גרנדוס מ-Planet Labs, מתוך "ניו יורק טיימס")
אתגר גדול נוסף שטרם נסגר הוא שיקום הרצועה, שרוב המבנים בה חרבו כמעט לחלוטין: טראמפ מדבר על עשרות מיליארדי דולרים שיוזרמו לרצועה (ואמורים גם להניב רווחי עתק לבעלי הון, כדי שיהיו כדאיים). אבל, איך מוודאים שהפעם - בניגוד לעבר - הכסף לא יילך לחמאס, ולא ישמש לבניית תשתיות טרור?
ברצועה, למעשה, פזורים כבר עכשיו מטעני חבלה רבים ועוד הרבה מנהרות. בנוסף, בזמן השיקום, ומאחר שתוכנית ה"רילוקיישן" ירדה מהפרק, לרבים מהעזתים לא יהיה בכלל איפה לגור - והם ימשיכו לחיות באוהלים עוד זמן רב, שכן רוב שטח הרצועה כלל לא ראוי למגורים. הימשכות המצב הזה עלולה להפוך לחבית חומר נפץ שתאיים להתפוצץ בכל רגע ולהרוס את ההסדר כולו. לכן, שיקום האזורים הללו הוא בגדר משימה בינלאומית מורכבת במיוחד שצריכה להתרחש במהירות, ותצריך מעורבות של שורת מדינות - חלקן גם עוינות לישראל.
האינטרסים הכלכליים בשיקום הרצועה הם גם נעלם גדול: בין השאר מדובר במעורבות של משפחת טראמפ, כולל של חתנו ג'ארד קושנר, וגם של משפחת ארדואן ושל שליטי המדינות המפרציות. בממשל מסתובבת כבר זמן רב תוכנית ה"ריביירה" של עזה, ושר האוצר בצלאל סמוטריץ' טען כי מתקיימים מול האמריקנים מגעים כדי שישראל תקבל גם היא נתח, כי עזה יכולה להיות "בוננזה של נדל"ן". כל אלה מעלים תהיות לגבי המטרות האמיתיות של חלק מהמעורבים בהסדר, והאם גם ישראל תוכל להרוויח כלכלית מכך בדרך כלשהי.
סימן שאלה נוסף שעולה מההסכם הוא יחסי ישראל-טורקיה, שמאז 7 באוקטובר הידרדרו לשפל אחרי תקופה של שיקום. כעת, טורקיה תוכל להכניס סיוע הומניטרי לרצועת עזה דרך ישראל, ויש כאן פוטנציאל לפיוס בין הצדדים - שכן אנקרה תצטרך להקים עורף לוגיסטי באשדוד שיקבל את הסחורות בנמל ויעביר אותן לעזה. הדבר ייתן לטורקיה המון כוח, וייצר לה מנוף מול ישראל, אך סביר שגם יביא לביטול חרם הסחר עליה ולחידוש טיסות טורקיש-איירליינס.
לפני כמה שבועות, בנו של טראמפ - דונלד טראמפ ג'וניור - נפגש עם חותנו של ארדואן, הבכיר הטורקי בראט אלביירק. באופוזיציה הטורקית טענו שבפגישה זו סגרו השניים "דיל" שיוביל לכך שטורקיה תהיה מעורבת בסיוע ההומניטרי ובשיקום עזה, ובתמורה "תביא" את חמאס לחתום על ההסכם. אם הדברים אכן נכונים, סביר שטורקיה תתבע כעת את התמורה.
ומעל הכול, כנראה, עומד עניין הנורמליזציה - אותו תהליך שחמאס ניסה לסכל במתקפת 7 באוקטובר, וכעת עשוי להתחדש במלוא עוצמתו. הנאום של נשיא אינדונזיה פרבואו סוביאנטו בעצרת הכללית של האו"ם היה אולי סימן לבאות, אלא שלא ברור עדיין באיזה שלב טראמפ יתניע את הסכמי אברהם מחדש. בנוסף, לא ברור האם ישראל תהיה מוכנה לכך בשנת בחירות, וכמה רחוק תלך בהבטחות למדינה פלסטינית במסגרת הסדר שייחתם למשל עם סעודיה.












